전국

검색
  • 댓글 0

실시간 랭킹 뉴스

KAIST "스트레스 많으면 냉장고 사용 증가"…사물인터넷으로 측정

노컷뉴스 이 시각 추천뉴스

이 시각 추천뉴스를 확인하세요

생활 패턴 불규칙성이 높은 그룹 (빨강)과 낮은 그룹 (파랑)의 평균 정신건강 상태 점수 비교 (점수가 높을수록 정신건강 상태 안 좋음). KAIST 제공생활 패턴 불규칙성이 높은 그룹 (빨강)과 낮은 그룹 (파랑)의 평균 정신건강 상태 점수 비교 (점수가 높을수록 정신건강 상태 안 좋음). KAIST 제공
한국과학기술원(KAIST)는 전산학부 이의진 교수 연구팀이 가정 내 사물인터넷(IoT) 센서 데이터를 활용해 개인의 정신건강 상태를 정밀하게 추적할 수 있는 가능성을 입증했다고 21일 밝혔다.
 
정신건강 관리를 위해선 자신의 상태를 꾸준히 파악하는 것이 중요하지만, 기존의 스마트폰이나 웨어러블 기반 추적 방식은 사용자가 기기를 착용하거나 소지하지 않는 집 안에서는 데이터가 누락되는 한계가 있었다.
 
연구팀은 가정 내 환경 데이터에 주목하고, 청년층 1인 가구 20세대를 대상으로 4주간 실증 연구를 진행했다.

가전제품과 수면 매트, 움직임 센서 등을 설치해 IoT 데이터를 수집하고, 스마트폰·웨어러블 데이터와 함께 분석했다.
 
그 결과 IoT 데이터를 함께 활용할 때 정신건강의 변화를 기존 방식보다 훨씬 정확하게 포착한다는 사실을 확인했다. 예를 들어 수면 시간 감소는 우울·불안·스트레스 수준 증가와 밀접하게 연관됐으며, 실내 온도 상승 또한 불안 및 우울과의 상관관계를 보였다.
 
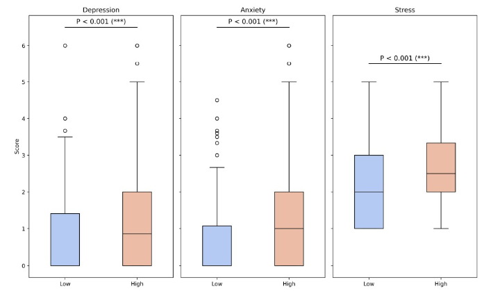
참가자들의 행동 패턴은 스트레스 상황에서 냉장고 사용이 늘어나는 '폭식형', 활동량이 급감하는 '무기력형' 등으로 다양했지만, 공통적으로 생활 패턴이 불규칙할수록 정신건강이 악화되는 경향이 뚜렷하게 나타났다.
 
특정 행동의 빈도보다 일상 패턴의 변동성이 더 중요한 요인으로 확인됐으며, 이는 규칙적인 생활이 정신건강 유지에 중요하다는 점을 나타낸다.

 전산학부 이찬희 박사과정, 전산학부 이의진 교수, 전산학부 이현수 교수, 전산학부 고영지 박사과정(왼쪽부터). KAIST 제공전산학부 이찬희 박사과정, 전산학부 이의진 교수, 전산학부 이현수 교수, 전산학부 고영지 박사과정(왼쪽부터). KAIST 제공
연구 참여자들이 자신의 생활 데이터를 시각화 소프트웨어를 통해 확인한 결과 사생활 침해에 대한 우려보다, 데이터가 정신건강 이해에 실질적인 도움이 된다는 인식을 갖게 되면서 연구 수용성과 참여 만족도가 크게 향상됐다.
 
이의진 교수는 "이번 연구는 가정 내 IoT 데이터가 개인의 생활 맥락 속에서 정신건강을 이해하는 중요한 단서가 될 수 있음을 보여주었다"며 "향후 AI를 활용해 개인별 생활 패턴을 예측하고 맞춤형 코칭이 가능한 원격 의료 시스템 개발로 발전시킬 계획"이라고 말했다.

0

0

실시간 랭킹 뉴스

오늘의 기자

※CBS노컷뉴스는 여러분의 제보로 함께 세상을 바꿉니다. 각종 비리와 부당대우, 사건사고와 미담 등 모든 얘깃거리를 알려주세요.

상단으로 이동